14.2 Do species vary across the Galápagos islands?

Isabela is the biggest of the Galápagos islands and the equator crosses it to the North. Figure 14.6 gives a map of the islands, which lie about 900 km west of Ecuador. The distance between Española to the South and Darwin to the North is 220 km.

Map of the Galápagos Islands

Figure 14.6: Map of the Galápagos Islands

The Daphne islands, where the Grants did a lot of their work (Grant & Grant (2014)), are a little to the North of Santa Cruz and too small to appear here. Daphne Major, the bigger of the two, is less than half a square kilometre in size.

Several species live on more than one island. Snodgrass and Heller’s dataset covering 15 islands ranges from Isabela with 195 birds from 9 species to Santa Cruz with 9 birds from 2 species. Looking at the data the other way round, they reported 32 species in all, ranging from the 15 they found each only on 1 island to Fulginosa parvula which they found on 9 islands. These data refer to the numbers of birds they collected and measured; there must have been many more.

The species Fuliginosa parvula may be used for comparing one species living on different islands. Figure 14.7 displays parallel coordinate plots with ghostplotting for Fuliginosa parvula on four islands where at least 9 birds were recorded. The full dataset for all four islands is drawn in the background in each plot.

\textit{fuliginosa parvula} finches on four islands

Figure 14.7: finches on four islands

On average there do not appear to be distinct differences between Fuliginosa parvula finches on the four islands. Some birds have unusual measurements, such as the two with long lower beaks on Fernandina and the one with a particularly short tarsus on Baltra.

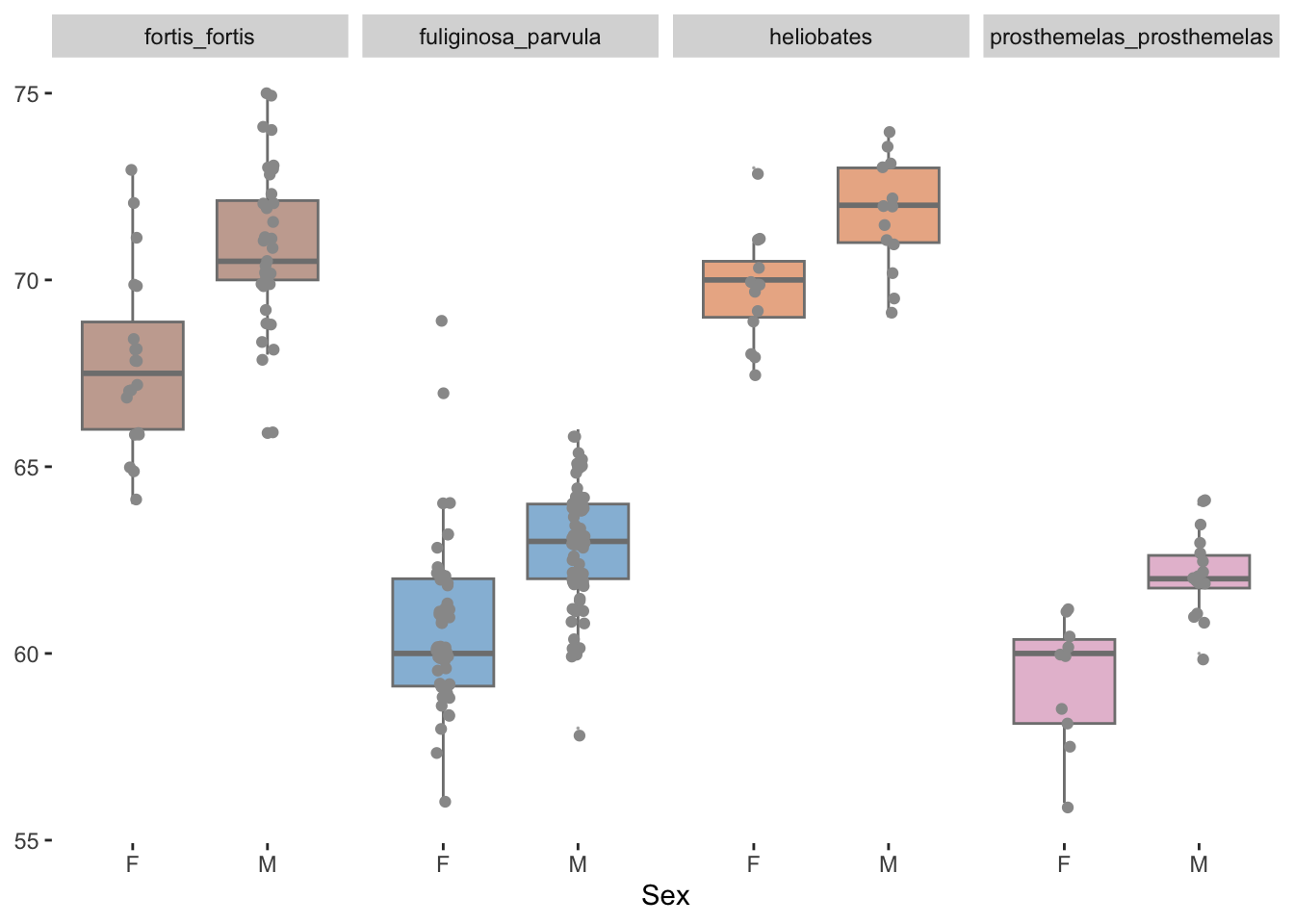
It is frequently the case that the males of a species are generally bigger than the females. This is to some extent true here, for instance for the wing length measurements compared in Figure 14.8. Four species for which there were data for at least ten examples of each sex are shown.

Boxplots of wing lengths by sex for 4 different species with jittered dotplots drawn on top.  Species colours are the same as used earlier.  There are not enough specimens of \textit{Fortis-platyrhyncha} for the species to be included.

Figure 14.8: Boxplots of wing lengths by sex for 4 different species with jittered dotplots drawn on top. Species colours are the same as used earlier. There are not enough specimens of for the species to be included.

Two species, Fortis fortis and Heliobates, have longer wing lengths than the other two species. It is curious that for the species with most birds, Fulginosa parvula with 62 females and 99 males, the birds with the two longest wing lengths are both females.

Twice as many males as females were measured by Snodgrass and Heller. The research by the Grants (Weiner (1994)) revealed that weather variation over the years can have dramatic effects on the sex ratio of the finches, with droughts leading to more females dying, particularly the smaller ones. Perhaps 1898-99 was shortly after such a period.

Answers The nine species on Isabela can almost all be distinguished from one other with the measurements provided. Species do not appear to differ between islands. Males are generally bigger than females of the same species.

Further questions Are the different bird measurements correlated with each other? How do the data on the finches of the Galápagos Islands collected by other researchers compare with the data studied here?

Graphical takeaways

  • Colour consistency across displays helps readers. (Figures 14.1 to 14.5 and 14.8)
  • The orderings of variables and categories in parallel coordinate plots make a big difference to what can be seen. (Figure 14.5)
  • Faceted parallel coordinate plots distinguish species better when the complete dataset is plotted in the background (ghostplotting). (Figures 14.5 and 14.7)